Feedback & Reward
Facebook-f
Twitter
Linkedin-in
Skype
MENU
MENU
Finance
Aging Details
Aging summary (INR)
Aging Details Creditors (INR) - 1329
Aging Creditors INR Excel – 1593
Aging Overdue CP Base Currency
Aging Report (INR) – 1057
Aging Debtors Report
Aging Debtors INR Excel – 1411
Aging without CP Base Currency
Aging details Foreign currency – Debtors – 2155
Aging Creditors Base Currency
Aging details Foreign currency – Creditor – 8501
Aging Creditors Transaction Currency
Voucher
Bank Receipt – 1080
Contra Report – 1080
Journal Report – 1080
Profit and Loss
Exchange Gain or Loss – 1064
Profit and Loss Tree – 1535 & 1073
Other Reports
Advance Received – 1547
Bank Reconciliation – 1157 & 1060
Cash Book Report Excel – 1061
Cash Flow Statement – 1062
MIS Profitability Branch/Module – 1071
Advance Payable – 1548
Pending Bank Reco Report – 1158
Bills Receivable Report – 1343
Job Cost Summary Excel – 1154
MIS EInvoice Register – 1596
Statement Of Account – 1075
Bank Book Report – 1059
Daily Transaction View – 1063
Ledger Report – 1069
Balance Sheet Treeview – 1536
Group Account Statement – 1066
Cash Book Report – 1061
TDS Register Auto Excel – 1309
Ledger Summary – 1070
Party Journal – 1549
GST Reports
GST Charges Report Excel – 1131
GSTR-1 – 1133
GST Company Report Excel – 1132
GSTR Inward Excel – 1135
GSTR Outward Excel – 1134
AuditTrail OB Comparison
Pending Vouchers Expense
Bills Receivable Foreign Currency
Bills Payable
Master Export – 8165
MIS Reimbursement Payable
Pending Vouchers Income
Bills Payable Foreign Currency
Balance Sheet
Group Outstanding – 2170
MIS Reimbursement Receivable
DPO Average Collection Period
Expense Breakup Report
Group – A/C Statement V1 – 2200
TDS Register Report – 2177
TDS Cancelled Vouchers
DSO Average Collection Period
Gross Profit Reconciliation DTP
Group – A/C statement V2 – 2201
Mis-EinvoiceRegister
Party Journal
Sea Export
BL REPORT
BL Master Report - 982 & 983
House BL Draft 980 & 981
Sea Export OBL Surrender Letter
HBL Annexure Report – 1368
MANIFEST
Shipped on Board Advice - 984
Doc – Freight Certification – 1457
Job Control - 1408
Shipment Planning - 984
Sea Cargo Manifest - 988
Sales Bill (Tax Invoice) – 1417
Daily Report - 1190
Doc – Container Load Plan
Credit note against Sales – 1424
Doc – Stuffing Loading – 1463
Booking Control - 1402
Overseas Sales Bill – 1418
Purchase Bill - 1422
MIS – Console Job cost sheet
MIS Job Report Operation
Debit note against Purchase – 7003
Pending Vouchers Income – 1167
MIS Financial Report
MIS – Job cost sheet – 1472
Pending Vouchers Expense – 1168
MIS – Booking Report
MIS – Job cost summary – 1473
MIS-Tonnage-Report
Sea Import
Certificate
Freight Certificate
Bill of Supply Invoice
Job cot sheet
Cargo Arrival Notice
CAN Invoice
MIS – Job cot summary
Booking Control
Credit note against Sale
Financial Report
Job Control Report
Purchase bill
DSR Report
Job Report Operation
Air Export
Manifest
Doc – Shipment Advice
Credit note against Sale
MIS – Job cost summary
Air Instruction Report
Purchase bill
Pending Vouchers Income
Air Cargo Manifest Report
RCM Purchase bill
Pending Vouchers Expense
Sales bill
MIS – Job cost sheet
Draft Report
House AWB – 1252
MAWB Draft & Master AWB Report
Original AWB – 1250
Original MAWB
Financial Report
Master Log Air Export
MIS Job Volume Analysis
Air Import
Air Freight Certificate Report
Job – Reopen
Pending Vouchers Expense
Job Report Operation Air Import
Cargo Arrival Notice Report
MIS – Job cost summary
Pending Voucher - Income
MIS Volume Analysis Air Import
Delivery Order Report
Pending CAN Cum LS Bill
Financial Report
Air Authorization report
MIS – Job cost sheet
MIS Master Log Air Import
Transport
WareHouse
Menu
Home
About Us
Cargonet
Services
Verticals
Cargo tracking Mobile App
Quick Demo
Video Session
Contact Us
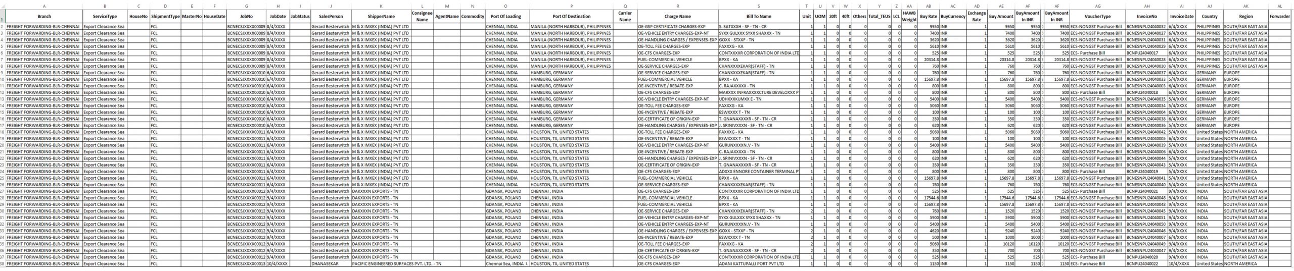
Expense Breakup Report
Excel Report
Feedback & Reward program
Submit the Feedback and avail the Rewards.
Company Name
Name
Phone
Email Address
1. Your satisfaction & reliability on CargoNet ?
1. Your satisfaction & reliability on CargoNet ?
Extremely Satisfied
Somewhat satisfied
Not so satisfied
Not at all satisfied
2. Your Rating on Support & co-ordination team?
2. Your Rating on Support & co-ordination team?
Extremely Satisfied
Somewhat satisfied
Not so satisfied
Not at all satisfied
3. Satisfaction on the look and feel of CargoNet ?
3. Satisfaction on the look and feel of CargoNet ?
Extremely Satisfied
Somewhat satisfied
Not so satisfied
Not at all satisfied
4. Please specify any 2 best features that you feel more helpful in CargoNet?
4. Please specify any 2 best features that you feel more helpful in CargoNet?
4. Please specify any 2 best features that you feel more helpful in CargoNet?
5. Please specify any 2 best reports that you are taking on regular basis?
5. Please specify any 2 best reports that you are taking on regular basis?
5. Please specify any 2 best reports that you are taking on regular basis?
6. Are you using Copy Job option in CargoNet Software?
6. Are you using Copy Job option in CargoNet Software?
7. Are you using Automatic DSR (Daily Status Report) Option? It automatically sends reports to customer about the shipment status
7. Are you using Automatic DSR (Daily Status Report) Option? It automatically sends reports to customer about the shipment status
Yes
No
Comments
7. Are you using Automatic DSR (Daily Status Report) Option? It automatically sends reports to customer about the shipment status
8. Are you using Automatic Outstanding Reports option? Period Auto outstanding reminders to customer
8. Are you using Automatic Outstanding Reports option? Period Auto outstanding reminders to customer
Yes
No
Comments
8. Are you using Automatic Outstanding Reports option? Period Auto outstanding reminders to customer
9. Any other thoughts to improve in CargoNet? Please share.
9. Any other thoughts to improve in CargoNet? Please share.
* Join our Reward Program by recommending CargoNet (Cash Rewards Awaiting)
* Join our Reward Program by recommending CargoNet (Cash Rewards Awaiting)
* Join our Reward Program by recommending CargoNet (Cash Rewards Awaiting)
Submit
“Thanks for your feedback. Our goal is to create the best possible product, support & service, and your thoughts, ideas & suggestions play a major role in helping us identify opportunities to improve.”